ダイクロイックミラーは、特定の波長帯を透過させ、他の波長を最小限の吸収で反射するように設計されています。IBSによる薄膜誘電体コーティングを施すことで、スペクトルドリフトのない性能と非常に鋭いエッジ構成を実現します。ダイクロイックフィルターは、レーザー共振器内でのポンプ光注入、共振器内での周波数倍増用エンドミラー、蛍光顕微鏡、あるいは高性能レーザーシステムでの高調波分離などでよく使用されます。レーザーシステムや複雑なイメージングセットアップに統合する場合でも、OPTOMAN は信頼性の高い高性能ソリューションを提供します。
主な特長
| 基板 | UVFS |
|---|---|
| 反射率 | >99.95 % |
| サイズ | 12.7-50.8 mm |
| 厚さ | 2.0 – 8.0 mm |
| HR波長 | 195 -1030 nm |
| HT波長 | 261 -1400 nm |
| 表面品質 | 10-5 S-D or 20-10 S-D |
| 面精度 | Up to <λ/10 |
| LIDT | >2 J/cm2, s-pol, 100 ps, 1030 nm (as per ISO S-on-1, 200 um beam dia) >100 GW/cm2, 60 fs, 200 nm (15 mm dia) |
デザイン例
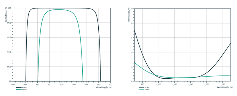
HRsp>99.9% @ 515 nm + HRsp>99.3% @ 500-530 nm
Rsp<2% @ 1030 nm, AOI=45°

常時在庫・スタンダード製品
| 型番 | 直径 (mm) | 厚さ (mm) | コーティング | 入射角 (deg) | HR波長 (nm) | HT波長 (nm) | 価格 (EUR) |
|---|---|---|---|---|---|---|---|
| PP-UVFS-25.4-6.35-DM389-AR753 | 25.4 | 6.35 | HRs>99.5% @ 343 nm + HTp>98% @ 515 nm + HTs>98% @ 1030 nm | 45 | 343 | 515+1030 | 110 |
| PP-UVFS-25.4-6.35-DM77-AR120 | 25.4 | 6.35 | HRsp>99.5% @ 515 nm + Rs<5% @ 1030 nm | 45 | 515 | 1030 | 195 |
| PP-UVFS-25.4-3.0-DM131-AR260 | 25.4 | 6.35 | HRs>99.95% + HRp>99.5% @ 976 nm + HTp>98% @ 1030nm | 45 | 976 | 1030 | 400 |
| PP-UVFS-12.7-3.0-DM77-AR120+ | 12.7 | 3.0 | HRsp > 99.9% @ 515 nm
+ HRsp > 99.3% @ 500–
530 nm + Rsp < 2% @ 1030 nm |
45 | 515 | 1030 | 95 |
| PP-UVFS-25.4-6.35-DM77-AR120 | 25.4 | 6.35 | HRsp > 99.5% @ 515 nm + Rs < 5% @ 1030 nm | 45 | 515 | 1030 | 195 |
| PP-UVFS-25.4-3.0- DM438-AR804EL |
25.4 | 3.0 | HRs>99.6%@337-349
nm + HTp>98%@505-525 +HTs>98% + 1015- 1045nm |
45 | 343 | 515+1030 | 380 |
| PP-UVFS-25.4-6.35-DM389-AR753 | 25.4 | 6.35 | HRs>99.5% @ 343 nm + HTp>98% @ 515 nm + HTs>98% @ 1030 nm | 45 | 343 | 515+1030 | 110 |